2026-05-25
<!DOCTYPE html PUBLIC "-//W3C//DTD XHTML 1.0 Transitional//EN" "http://www.w3.org/TR/xhtml1/DTD/xhtml1-transitional.dtd">
<html xml:lang="zh-TW" lang="zh-TW" xmlns:hyweb="urn:gip-hyweb-com" xmlns="http://www.w3.org/1999/xhtml">
<head>
<title>中華票券全球資訊網
				─ 現值（Present Value）</title>
<meta http-equiv="Content-Type" content="text/html; charset=utf-8"/>
<meta name="DC.Title" content="現值（Present Value）">
<meta name="DC.Subject" content="現值（Present Value）">
<meta name="DC.Creator" content="manager">
<meta name="DC.Description" content="現值是指從現在的價值觀點來決定將來現金流量的價值。又由現值求出未來價值或由未來價值倒推現值，均以複利得觀念處理。">
<meta name="DC.Publisher" content="中華票券">
<meta name="DC.Contributor" content="">
<meta name="DC.coverage.t.max" content="2013-4-22">
<meta name="DC.coverage.t.min" content="2010-4-22">
<meta name="DC.Date" content="2010-4-22 00:00">
<meta name="DC.Type" content="文字">
<meta name="DC.Format" content="文字">
<meta name="DC.Identifier" content="1245">
<meta name="DC.Relation" content="CP-1245">
<meta name="DC.Source" content="">
<meta name="DC.Language" content="">
<meta name="DC.Coverage" content="">
<meta name="DC.Rights" content="">
<meta name="Category.Theme" content="">
<meta name="Category.Cake" content="">
<meta name="Category.Service" content="">
<meta name="Title" content="中華票券全球資訊網"/>
<meta name="Keywords" content="中華票券全球資訊網"/>
<link rel="stylesheet" type="text/css" href="GIPDSD/xslGip/xslExport/1/cbf/css/default.css">
</link>
<link rel="stylesheet" type="text/css" href="GIPDSD/xslGip/xslExport/1/cbf/css/design.css">
</link>
<link rel="stylesheet" type="text/css" media="print" href="GIPDSD/xslGip/xslExport/1/cbf/css/print.css">
</link>
<link href="css/CuHtmlEdit.asp" rel="stylesheet" type="text/css" charset="utf-8"></link>
<script type="text/javascript" src="js/globals.js"></script>
<script type="text/javascript" src="js/widgets_class.js"></script>
<script type="text/javascript" src="js/tabpanel1_class.js"></script>
<script type="text/javascript" src="js/swfobject.js"></script>
<script type="text/javascript" src="js/SpryTabbedPanels.js"></script>
<script type="text/javascript" src="js/AC_RunActiveContent.js"></script>
<script type="text/javascript" src="js/mootools.v1.11.js"></script>
<script type="text/javascript" src="js/styleswitcher.js"></script>
<script type="text/javascript" src="js/multimenu.js"></script>
<script type="text/javascript" src="js/swfobject_modified.js"></script>
<script type="text/javascript" src="js/jscalendar-1.0/calendar.js"></script>
<script type="text/javascript" src="js/jscalendar-1.0/lang/calendar-en.js"></script>
<script type="text/javascript" src="js/jscalendar-1.0/lang/calendar-big5-utf8.js"></script>
<script type="text/javascript" src="js/jscalendar-1.0/calendar-setup.js"></script>
<link href="js/jscalendar-1.0/calendar-system.css" rel="stylesheet" type="text/css"></link>
</head>
<body>
<div class="wrap">
<div id="zone.head" class="top"><div class="header">
<h1><a title="banner" href="mp.asp?mp=1"><img src="GIPDSD/xslGip/xslExport/1/cbf/images/h1_mp.gif" title="banner" alt="banner"></a></h1>
<div class="nav">
<div class="accesskey"><a href="#" accesskey="U" title="上方導覽區塊">			
			:::
			</a></div>
<ul>
<li><a href="mp.asp?mp=2" title="English">English</a></li>
<li><a href="sitemap.asp" title="網站地圖">網站地圖</a></li>
<li><a href="lp.asp?ctNode=536&amp;CtUnit=171&amp;BaseDSD=49&amp;mp=1" title="人才招募">人才招募</a></li>
<li><a href="sp.asp?xdurl=ePaper/epaper.subscribe.asp&amp;mp=1" title="訂閱電子報">訂閱電子報</a></li>
<li><a href="mailto:service@cbf.com.tw" title="聯絡我們">聯絡我們</a></li>
</ul>
</div>
</div>
</div>
<table class="layout" summary="layout table">
<tr>
<td class="leftbg">
<div class="side">
<div class="accesskey">
<a href="#" accesskey="L" title="左方導覽區塊">:::</a>
</div>
<div id="zone.SideBarLeft"><div class="mlmenu menubg inaccesible"><ul><li><a href="np.asp?ctNode=357&amp;mp=1" title="關於我們">關於我們</a><ul><li><a href="np.asp?ctNode=358&amp;CtUnit=96&amp;BaseDSD=7&amp;mp=1" title="公司簡介">公司簡介</a></li><li><a href="np.asp?ctNode=360&amp;CtUnit=97&amp;BaseDSD=7&amp;mp=1" title="經營理念">經營理念</a></li><li><a href="np.asp?ctNode=534&amp;CtUnit=205&amp;BaseDSD=7&amp;mp=1" title="公司組織架構">公司組織架構</a></li><li><a href="np.asp?ctNode=629&amp;CtUnit=258&amp;BaseDSD=7&amp;mp=1" title="經營團隊">經營團隊</a></li><li><a href="np.asp?ctNode=537&amp;mp=1" title="風險管理資訊">風險管理資訊</a><ul><li><a href="np.asp?ctNode=538&amp;CtUnit=207&amp;BaseDSD=7&amp;mp=1" title="風險管理組織架構及政策">風險管理組織架構及政策</a></li><li><a href="np.asp?ctNode=539&amp;CtUnit=208&amp;BaseDSD=7&amp;mp=1" title="衡量與控管各風險之方法">衡量與控管各風險之方法</a></li><li><a href="np.asp?ctNode=858&amp;CtUnit=272&amp;BaseDSD=7&amp;mp=1" title="會員機構辦理經濟部移送企業債權債務協商案件措施單一諮詢及申訴窗口">會員機構辦理經濟部移送企業債權債務協商案件措施單一諮詢及申訴窗口</a></li></ul></li><li><a href="np.asp?ctNode=568&amp;mp=1" title="法律事務服務公告事項">法律事務服務公告事項</a><ul><li><a href="np.asp?ctNode=570&amp;CtUnit=225&amp;BaseDSD=7&amp;mp=1" title="中華票券辦理公務機關查詢及解繳扣押款收費標準">中華票券辦理公務機關查詢及解繳扣押款收費標準</a></li><li><a href="np.asp?ctNode=573&amp;CtUnit=226&amp;BaseDSD=7&amp;mp=1" title="不良債權售後申訴處理窗口">不良債權售後申訴處理窗口</a></li><li><a href="np.asp?ctNode=602&amp;CtUnit=238&amp;BaseDSD=7&amp;mp=1" title="美國FATCA法案W-8BEN-E影本">美國FATCA法案W-8BEN-E影本</a></li><li><a href="np.asp?ctNode=618&amp;CtUnit=253&amp;BaseDSD=7&amp;mp=1" title="中華票券金融股份有限公司防範內線交易須知">中華票券金融股份有限公司防範內線交易須知</a></li><li><a href="np.asp?ctNode=861&amp;CtUnit=273&amp;BaseDSD=7&amp;mp=1" title="一分鐘看懂洗錢防制新法懶人包">一分鐘看懂洗錢防制新法懶人包</a></li><li><a href="np.asp?ctNode=863&amp;CtUnit=274&amp;BaseDSD=7&amp;mp=1" title="洗錢防制新法上路">洗錢防制新法上路</a></li><li><a href="np.asp?ctNode=866&amp;CtUnit=275&amp;BaseDSD=7&amp;mp=1" title="中華票券防制洗錢及打擊資恐內部控制制度聲明書">中華票券防制洗錢及打擊資恐內部控制制度聲明書</a></li></ul></li><li><a href="np.asp?ctNode=581&amp;mp=1" title="性騷擾防治">性騷擾防治</a><ul><li><a href="np.asp?ctNode=584&amp;CtUnit=232&amp;BaseDSD=7&amp;mp=1" target="_blank" title="性騷擾防治措施、申訴及懲戒須知, , 另開新視窗.">性騷擾防治措施、申訴及懲戒須知</a></li><li><a href="np.asp?ctNode=585&amp;CtUnit=231&amp;BaseDSD=7&amp;mp=1" target="_blank" title="申訴處理窗口, , 另開新視窗.">申訴處理窗口</a></li></ul></li><li><a href="np.asp?ctNode=364&amp;CtUnit=100&amp;BaseDSD=7&amp;mp=1" title="服務據點">服務據點</a></li></ul></li><li><a href="np.asp?ctNode=366&amp;mp=1" title="訊息公告">訊息公告</a></li><li><a href="np.asp?ctNode=369&amp;mp=1" title="票券市場">票券市場</a><ul><li><a href="np.asp?ctNode=372&amp;CtUnit=106&amp;BaseDSD=7&amp;mp=1" title="票券市場工具種類">票券市場工具種類</a></li><li><a href="np.asp?ctNode=375&amp;mp=1" title="承銷簽證業務">承銷簽證業務</a><ul><li><a href="np.asp?ctNode=552&amp;CtUnit=215&amp;BaseDSD=7&amp;mp=1" title="簽證承銷">簽證承銷</a></li><li><a href="np.asp?ctNode=376&amp;CtUnit=108&amp;BaseDSD=7&amp;mp=1" title="貼現買入交易性商業票券">貼現買入交易性商業票券</a></li><li><a href="np.asp?ctNode=379&amp;CtUnit=109&amp;BaseDSD=7&amp;mp=1" title="保證發行商業本票">保證發行商業本票</a></li><li><a href="np.asp?ctNode=380&amp;CtUnit=110&amp;BaseDSD=7&amp;mp=1" title="承諾承銷(循環發行)商業本票">承諾承銷(循環發行)商業本票</a></li><li><a href="np.asp?ctNode=381&amp;CtUnit=111&amp;BaseDSD=7&amp;mp=1" title="資產基礎商業本票（ABCP）">資產基礎商業本票（ABCP）</a></li><li><a href="np.asp?ctNode=382&amp;CtUnit=112&amp;BaseDSD=7&amp;mp=1" title="實例及計算說明">實例及計算說明</a></li><li><a href="np.asp?ctNode=383&amp;CtUnit=100&amp;BaseDSD=7&amp;mp=1" title="聯絡方式">聯絡方式</a></li></ul></li><li><a href="np.asp?ctNode=384&amp;mp=1" title="票券交易業務">票券交易業務</a><ul><li><a href="np.asp?ctNode=385&amp;CtUnit=114&amp;BaseDSD=7&amp;mp=1" title="票券交易方式">票券交易方式</a></li><li><a href="np.asp?ctNode=386&amp;CtUnit=115&amp;BaseDSD=7&amp;mp=1" title="票券投資優點">票券投資優點</a></li><li><a href="np.asp?ctNode=387&amp;CtUnit=116&amp;BaseDSD=7&amp;mp=1" title="交易流程">交易流程</a></li><li><a href="np.asp?ctNode=394&amp;CtUnit=159&amp;BaseDSD=7&amp;mp=1" title="實例及計算說明">實例及計算說明</a></li><li><a href="np.asp?ctNode=401&amp;CtUnit=100&amp;BaseDSD=7&amp;mp=1" title="聯絡方式">聯絡方式</a></li></ul></li><li><a href="lp.asp?ctNode=564&amp;CtUnit=221&amp;BaseDSD=7&amp;mp=1" title="美元票券業務">美元票券業務</a></li><li><a href="lp.asp?ctNode=988&amp;CtUnit=212&amp;BaseDSD=7&amp;mp=1" title="票券小百科">票券小百科</a></li></ul></li><li><a href="np.asp?ctNode=403&amp;mp=1" title="債券市場">債券市場</a><ul><li><a href="np.asp?ctNode=405&amp;CtUnit=124&amp;BaseDSD=7&amp;mp=1" title="金融債券簽證承銷">金融債券簽證承銷</a></li><li><a href="np.asp?ctNode=407&amp;mp=1" title="債券交易業務">債券交易業務</a><ul><li><a href="np.asp?ctNode=411&amp;CtUnit=126&amp;BaseDSD=7&amp;mp=1" title="債券交易介紹">債券交易介紹</a></li><li><a href="np.asp?ctNode=417&amp;CtUnit=100&amp;BaseDSD=7&amp;mp=1" title="聯絡方式">聯絡方式</a></li></ul></li><li><a href="lp.asp?ctNode=989&amp;CtUnit=211&amp;BaseDSD=7&amp;mp=1" title="債券小百科">債券小百科</a></li></ul></li><li><a href="np.asp?ctNode=418&amp;mp=1" title="市場資訊與研究報告">市場資訊與研究報告</a><ul><li><a href="lp.asp?ctNode=528&amp;CtUnit=190&amp;BaseDSD=7&amp;mp=1" title="金融市場行情日報告 ">金融市場行情日報告 </a></li><li><a href="lp.asp?ctNode=419&amp;CtUnit=133&amp;BaseDSD=7&amp;mp=1" title="利率月報告">利率月報告</a></li><li><a href="lp.asp?ctNode=420&amp;CtUnit=134&amp;BaseDSD=7&amp;mp=1" title="每月總體經濟分析">每月總體經濟分析</a></li></ul></li><li><a href="np.asp?ctNode=423&amp;mp=1" title="利率報價">利率報價</a><ul><li><a href="lp.asp?ctNode=429&amp;CtUnit=162&amp;BaseDSD=43&amp;mp=1" title="台幣政府債券買賣斷利率">台幣政府債券買賣斷利率</a></li><li><a href="lp.asp?ctNode=430&amp;CtUnit=163&amp;BaseDSD=44&amp;mp=1" title="台幣債券附條件交易利率">台幣債券附條件交易利率</a></li><li><a href="lp.asp?ctNode=431&amp;CtUnit=164&amp;BaseDSD=47&amp;mp=1" title="台幣票券初級市場利率">台幣票券初級市場利率</a></li><li><a href="lp.asp?ctNode=432&amp;CtUnit=165&amp;BaseDSD=45&amp;mp=1" title="台幣票券次級市場利率">台幣票券次級市場利率</a></li><li><a href="lp.asp?ctNode=434&amp;CtUnit=167&amp;BaseDSD=46&amp;mp=1" title="美元票券初級市場利率">美元票券初級市場利率</a></li><li><a href="lp.asp?ctNode=435&amp;CtUnit=168&amp;BaseDSD=51&amp;mp=1" title="美元票券次級市場利率">美元票券次級市場利率</a></li><li><a href="lp.asp?ctNode=595&amp;CtUnit=233&amp;BaseDSD=7&amp;mp=1" title="外幣債券附條件交易利率">外幣債券附條件交易利率</a></li><li><a href="lp.asp?ctNode=597&amp;CtUnit=237&amp;BaseDSD=7&amp;mp=1" title="可轉債附條件交易利率">可轉債附條件交易利率</a></li><li><a href="lp.asp?ctNode=633&amp;CtUnit=260&amp;BaseDSD=7&amp;mp=1" title="人民幣票券附條件交易利率">人民幣票券附條件交易利率</a></li><li><a href="lp.asp?ctNode=1554&amp;CtUnit=368&amp;BaseDSD=7&amp;mp=1" title="外幣政府債券買賣斷利率">外幣政府債券買賣斷利率</a></li></ul></li><li><a href="np.asp?ctNode=347&amp;mp=1" title="投資人資訊">投資人資訊</a><ul><li><a href="np.asp?ctNode=348&amp;mp=1" title="財務及營運資訊">財務及營運資訊</a><ul><li><a href="lp.asp?ctNode=349&amp;CtUnit=102&amp;BaseDSD=7&amp;mp=1" title="年報">年報</a></li><li><a href="lp.asp?ctNode=350&amp;CtUnit=105&amp;BaseDSD=7&amp;mp=1" title="財務報告">財務報告</a></li><li><a href="lp.asp?ctNode=436&amp;CtUnit=173&amp;BaseDSD=7&amp;mp=1" title="月營收資訊">月營收資訊</a></li></ul></li><li><a href="np.asp?ctNode=351&amp;mp=1" title="董事會及股權結構">董事會及股權結構</a><ul><li><a href="np.asp?ctNode=356&amp;CtUnit=130&amp;BaseDSD=7&amp;mp=1" target="_blank" title="股東結構, , 另開新視窗.">股東結構</a></li><li><a href="np.asp?ctNode=359&amp;CtUnit=137&amp;BaseDSD=7&amp;mp=1" target="_blank" title="持股比例占前十大股東間互為財務會計準則公報第六號關係人關係之資訊, , 另開新視窗.">持股比例占前十大股東間互為財務會計準則公報第六號關係人關係之資訊</a></li><li><a href="np.asp?ctNode=363&amp;CtUnit=138&amp;BaseDSD=7&amp;mp=1" target="_blank" title="董事會之結構與獨立性, , 另開新視窗.">董事會之結構與獨立性</a></li><li><a href="np.asp?ctNode=961&amp;CtUnit=223&amp;BaseDSD=7&amp;mp=1" target="_blank" title="董事(獨立董事)選舉相關規範及選舉執行情形, , 另開新視窗.">董事(獨立董事)選舉相關規範及選舉執行情形</a></li><li><a href="np.asp?ctNode=531&amp;CtUnit=169&amp;BaseDSD=7&amp;mp=1" title="董事會、審計委員會、薪酬委員會及經理人之職責">董事會、審計委員會、薪酬委員會及經理人之職責</a></li><li><a href="np.asp?ctNode=365&amp;CtUnit=139&amp;BaseDSD=7&amp;mp=1" target="_blank" title="董事會報酬結構, , 另開新視窗.">董事會報酬結構</a></li><li><a href="lp.asp?ctNode=532&amp;CtUnit=170&amp;BaseDSD=7&amp;mp=1" title="董事會重要決議事項">董事會重要決議事項</a></li><li><a href="np.asp?ctNode=899&amp;CtUnit=294&amp;BaseDSD=7&amp;mp=1" target="_blank" title="董事會成員多元化政策及落實情形, , 另開新視窗.">董事會成員多元化政策及落實情形</a></li><li><a href="np.asp?ctNode=962&amp;CtUnit=151&amp;BaseDSD=7&amp;mp=1" target="_blank" title="董事出(列)席董事會及進修情形一覽表, , 另開新視窗.">董事出(列)席董事會及進修情形一覽表</a></li><li><a href="np.asp?ctNode=1072&amp;CtUnit=336&amp;BaseDSD=7&amp;mp=1" target="_blank" title="多功能委員會, , 另開新視窗.">多功能委員會</a></li></ul></li><li><a href="np.asp?ctNode=377&amp;mp=1" title="股東專欄">股東專欄</a><ul><li><a href="np.asp?ctNode=378&amp;CtUnit=145&amp;BaseDSD=7&amp;mp=1" title="股利查詢">股利查詢</a></li><li><a href="lp.asp?ctNode=454&amp;CtUnit=146&amp;BaseDSD=7&amp;mp=1" title="股價資訊">股價資訊</a></li><li><a href="lp.asp?ctNode=388&amp;CtUnit=147&amp;BaseDSD=7&amp;mp=1" title="股東會專區">股東會專區</a></li><li><a href="np.asp?ctNode=389&amp;CtUnit=148&amp;BaseDSD=7&amp;mp=1" title="股務代理機構">股務代理機構</a></li><li><a href="np.asp?ctNode=390&amp;CtUnit=219&amp;BaseDSD=7&amp;mp=1" title="公司發言人">公司發言人</a></li><li><a href="np.asp?ctNode=560&amp;CtUnit=220&amp;BaseDSD=7&amp;mp=1" title="股東答問聯絡人">股東答問聯絡人</a></li><li><a href="lp.asp?ctNode=391&amp;CtUnit=149&amp;BaseDSD=7&amp;mp=1" title="法人說明會">法人說明會</a></li><li><a href="np.asp?ctNode=644&amp;mp=1" title="法人說明會影音檔專區">法人說明會影音檔專區</a><ul><li><a href="https://webpro.twse.com.tw/WebPortal/vod/101/55EA23079B9E-8EF4F28A-CAA4-11F0-86F0/?categoryId=101" target="_blank" title="114年11月26日法人說明會影音, , 另開新視窗.">114年11月26日法人說明會影音</a></li><li><a href="https://webpro.twse.com.tw/WebPortal/vod/101/67593D575DB3-E297AEF6-50CB-11F0-B626/?categoryId=101" target="_blank" title="114年06月24日法人說明會影音, , 另開新視窗.">114年06月24日法人說明會影音</a></li><li><a href="https://webpro.twse.com.tw/WebPortal/vod/101/A1254962C130-80765A97-338D-11EF-8145/?categoryId=101" target="_blank" title="113年06月26日法人說明會影音, , 另開新視窗.">113年06月26日法人說明會影音</a></li><li><a href="https://webpro.twse.com.tw/webportal/vod/101/4F9CE0A5F132-2E6B3E3A-A0CB-11EF-97A4/?categoryId=101" target="_blank" title="113年11月12日法人說明會影音, , 另開新視窗.">113年11月12日法人說明會影音</a></li><li><a href="https://webpro.twse.com.tw/WebPortal/vod/101/A7726E10C387-1E9470F4-8DD1-11EE-AF53/?categoryId=101" target="_blank" title="112年11月28日法人說明會影音, , 另開新視窗.">112年11月28日法人說明會影音</a></li><li><a href="https://webpro.twse.com.tw/webportal/vod/101/298636B9B943-D5EADF48-1584-11EE-B5FC/?categoryId=101" target="_blank" title="112年法人說明會影音檔, , 另開新視窗.">112年法人說明會影音檔</a></li><li><a href="https://webpro.twse.com.tw/webportal/vod/101/1B9E88917C1F-71A6104D-AA8A-11EC-824F/?categoryId=101" target="_blank" title="111年法人說明會影音檔, , 另開新視窗.">111年法人說明會影音檔</a></li><li><a href="https://webpro.twse.com.tw/webportal/vod/101/35F88F025624-6C940C1F-00CD-11EC-AEC8/?categoryId=101" target="_blank" title="110年法人說明會影音檔, , 另開新視窗.">110年法人說明會影音檔</a></li><li><a href="https://webpro.twse.com.tw/WebPortal/vod/101/C1BA49576950-972BF78F-B1FB-11EA-8FF1/?categoryId=101" target="_blank" title="109年法人說明會影音檔, , 另開新視窗.">109年法人說明會影音檔</a></li><li><a href="https://webpro.twse.com.tw/webportal/vod/101/BDB9B8EE8F4E-5753F02B-93F5-11E9-9538/?categoryId=101" target="_blank" title="108年法人說明會影音檔, , 另開新視窗.">108年法人說明會影音檔</a></li></ul></li></ul></li><li><a href="lp.asp?ctNode=368&amp;CtUnit=141&amp;BaseDSD=7&amp;mp=1" title="信用評等報告">信用評等報告</a></li><li><a href="np.asp?ctNode=370&amp;mp=1" title="內部控制制度執行狀況">內部控制制度執行狀況</a><ul><li><a href="np.asp?ctNode=371&amp;CtUnit=142&amp;BaseDSD=7&amp;mp=1" target="_blank" title="內部稽核之組織及運作, , 另開新視窗.">內部稽核之組織及運作</a></li><li><a href="np.asp?ctNode=373&amp;CtUnit=143&amp;BaseDSD=7&amp;mp=1" target="_blank" title="內部控制聲明書, , 另開新視窗.">內部控制聲明書</a></li></ul></li><li><a href="lp.asp?ctNode=374&amp;CtUnit=144&amp;BaseDSD=7&amp;mp=1" title="重大訊息">重大訊息</a></li><li><a href="http://mops.twse.com.tw/mops/web/t123sb06_q1" target="_blank" title="財務重點專區, , 另開新視窗.">財務重點專區</a></li></ul></li><li><a href="np.asp?ctNode=990&amp;mp=1" title="公司治理">公司治理</a><ul><li><a href="np.asp?ctNode=991&amp;CtUnit=150&amp;BaseDSD=7&amp;mp=1" target="_blank" title="公司章程, , 另開新視窗.">公司章程</a></li><li><a href="np.asp?ctNode=992&amp;CtUnit=277&amp;BaseDSD=7&amp;mp=1" target="_blank" title="公司治理實務守則, , 另開新視窗.">公司治理實務守則</a></li><li><a href="np.asp?ctNode=993&amp;CtUnit=296&amp;BaseDSD=7&amp;mp=1" target="_blank" title="公司治理人員職權範圍與業務執行情形, , 另開新視窗.">公司治理人員職權範圍與業務執行情形</a></li><li><a href="np.asp?ctNode=994&amp;CtUnit=154&amp;BaseDSD=7&amp;mp=1" target="_blank" title="本公司之公司治理運作情形及其與票券金融公司治理實務守則差異情形及原因, , 另開新視窗.">本公司之公司治理運作情形及其與票券金融公司治理實務守則差異情形及原因</a></li><li><a href="np.asp?ctNode=995&amp;CtUnit=142&amp;BaseDSD=7&amp;mp=1" target="_blank" title="內部稽核之組織及運作, , 另開新視窗.">內部稽核之組織及運作</a></li><li><a href="np.asp?ctNode=996&amp;mp=1" title="獨立董事與內部稽核主管及會計師之溝通情形">獨立董事與內部稽核主管及會計師之溝通情形</a><ul><li><a href="np.asp?ctNode=997&amp;CtUnit=265&amp;BaseDSD=7&amp;mp=1" title="獨立董事與內部稽核主管之溝通情形">獨立董事與內部稽核主管之溝通情形</a></li><li><a href="np.asp?ctNode=998&amp;CtUnit=266&amp;BaseDSD=7&amp;mp=1" title="獨立董事與會計師之溝通情形">獨立董事與會計師之溝通情形</a></li></ul></li><li><a href="np.asp?ctNode=999&amp;mp=1" title="董事會績效評估">董事會績效評估</a><ul><li><a href="np.asp?ctNode=1000&amp;CtUnit=302&amp;BaseDSD=7&amp;mp=1" title="董事會績效評估辦法">董事會績效評估辦法</a></li><li><a href="np.asp?ctNode=1001&amp;CtUnit=303&amp;BaseDSD=7&amp;mp=1" title="董事會績效評估結果報告">董事會績效評估結果報告</a></li></ul></li><li><a href="np.asp?ctNode=1066&amp;CtUnit=334&amp;BaseDSD=7&amp;mp=1" title="董事會成員及重要管理階層之接班規劃">董事會成員及重要管理階層之接班規劃</a></li><li><a href="np.asp?ctNode=1002&amp;mp=1" title="企業誠信經營執行情形">企業誠信經營執行情形</a><ul><li><a href="np.asp?ctNode=1003&amp;CtUnit=267&amp;BaseDSD=7&amp;mp=1" target="_blank" title="企業誠信經營作業程序及行為指南, , 另開新視窗.">企業誠信經營作業程序及行為指南</a></li><li><a href="np.asp?ctNode=1004&amp;CtUnit=268&amp;BaseDSD=7&amp;mp=1" target="_blank" title="企業誠信經營專(兼)職單位, , 另開新視窗.">企業誠信經營專(兼)職單位</a></li><li><a href="np.asp?ctNode=1005&amp;CtUnit=269&amp;BaseDSD=7&amp;mp=1" target="_blank" title="違反企業誠信經營檢舉單位, , 另開新視窗.">違反企業誠信經營檢舉單位</a></li><li><a href="np.asp?ctNode=1006&amp;CtUnit=270&amp;BaseDSD=7&amp;mp=1" target="_blank" title="企業誠信經營之推動與宣導, , 另開新視窗.">企業誠信經營之推動與宣導</a></li><li><a href="np.asp?ctNode=1007&amp;CtUnit=271&amp;BaseDSD=7&amp;mp=1" target="_blank" title="供應商行為規範, , 另開新視窗.">供應商行為規範</a></li></ul></li><li><a href="np.asp?ctNode=1008&amp;CtUnit=307&amp;BaseDSD=7&amp;mp=1" target="_blank" title="人權政策與管理方案, , 另開新視窗.">人權政策與管理方案</a></li><li><a href="np.asp?ctNode=1068&amp;CtUnit=297&amp;BaseDSD=7&amp;mp=1" target="_blank" title="資訊安全政策, , 另開新視窗.">資訊安全政策</a></li><li><a href="np.asp?ctNode=1064&amp;CtUnit=332&amp;BaseDSD=7&amp;mp=1" target="_blank" title="智慧財產權管理計畫暨執行情形, , 另開新視窗.">智慧財產權管理計畫暨執行情形</a></li><li><a href="np.asp?ctNode=1012&amp;CtUnit=305&amp;BaseDSD=7&amp;mp=1" target="_blank" title="稅務政策, , 另開新視窗.">稅務政策</a></li><li><a href="np.asp?ctNode=1013&amp;CtUnit=153&amp;BaseDSD=7&amp;mp=1" target="_blank" title="利害關係人授信相關資訊與資本適足性之揭露, , 另開新視窗.">利害關係人授信相關資訊與資本適足性之揭露</a></li><li><a href="np.asp?ctNode=1014&amp;mp=1" title="其他政策及規章">其他政策及規章</a><ul><li><a href="np.asp?ctNode=1015&amp;CtUnit=152&amp;BaseDSD=7&amp;mp=1" target="_blank" title="與關係企業財務及業務往來作業辦法, , 另開新視窗.">與關係企業財務及業務往來作業辦法</a></li><li><a href="np.asp?ctNode=1016&amp;CtUnit=155&amp;BaseDSD=7&amp;mp=1" target="_blank" title="取得或處分資產處理程序 , , 另開新視窗.">取得或處分資產處理程序 </a></li><li><a href="np.asp?ctNode=1017&amp;CtUnit=156&amp;BaseDSD=7&amp;mp=1" target="_blank" title="從事衍生性金融商品交易處理程序 , , 另開新視窗.">從事衍生性金融商品交易處理程序 </a></li><li><a href="np.asp?ctNode=1018&amp;CtUnit=264&amp;BaseDSD=7&amp;mp=1" title="業務人員酬金制度應遵循辦法 ">業務人員酬金制度應遵循辦法 </a></li><li><a href="np.asp?ctNode=1075&amp;CtUnit=337&amp;BaseDSD=7&amp;mp=1" title="內部重大資訊處理作業程序">內部重大資訊處理作業程序</a></li><li><a href="np.asp?ctNode=1090&amp;CtUnit=343&amp;BaseDSD=7&amp;mp=1" title="供應商社會責任管理要點">供應商社會責任管理要點</a></li><li><a href="np.asp?ctNode=1078&amp;CtUnit=338&amp;BaseDSD=7&amp;mp=1" target="_blank" title="風險管理政策, , 另開新視窗.">風險管理政策</a></li><li><a href="np.asp?ctNode=1564&amp;CtUnit=373&amp;BaseDSD=7&amp;mp=1" target="_blank" title="個人資料保護法, , 另開新視窗.">個人資料保護法</a></li><li><a href="np.asp?ctNode=1566&amp;CtUnit=374&amp;BaseDSD=7&amp;mp=1" target="_blank" title="公平待客原則政策, , 另開新視窗.">公平待客原則政策</a></li><li><a href="np.asp?ctNode=1567&amp;CtUnit=375&amp;BaseDSD=7&amp;mp=1" target="_blank" title="金融消費爭議處理辦法, , 另開新視窗.">金融消費爭議處理辦法</a></li></ul></li></ul></li><li><a href="np.asp?ctNode=393&amp;mp=1" title="理財試算表">理財試算表</a><ul><li><a href="lp.asp?ctNode=525&amp;CtUnit=174&amp;BaseDSD=7&amp;mp=1" title="承銷業務相關試算表">承銷業務相關試算表</a></li><li><a href="lp.asp?ctNode=526&amp;CtUnit=175&amp;BaseDSD=7&amp;mp=1" title="票券/債券附條件相關試算表">票券/債券附條件相關試算表</a></li></ul></li><li><a href="lp.asp?ctNode=397&amp;CtUnit=158&amp;BaseDSD=7&amp;mp=1" title="財經資訊網站連結">財經資訊網站連結</a></li><li><a href="np.asp?ctNode=604&amp;mp=1" title="企業永續專區">企業永續專區</a><ul><li><a href="np.asp?ctNode=605&amp;CtUnit=240&amp;BaseDSD=7&amp;mp=1" title="企業永續之使命與願景">企業永續之使命與願景</a></li><li><a href="np.asp?ctNode=1094&amp;mp=1" title="企業永續政策、制度、相關管理方針及具體推動計畫">企業永續政策、制度、相關管理方針及具體推動計畫</a><ul><li><a href="np.asp?ctNode=1095&amp;CtUnit=345&amp;BaseDSD=7&amp;mp=1" target="_blank" title="中華票券金融股份有限公司永續發展實務守則 , , 另開新視窗.">中華票券金融股份有限公司永續發展實務守則 </a></li><li><a href="np.asp?ctNode=1096&amp;CtUnit=346&amp;BaseDSD=7&amp;mp=1" target="_blank" title="中華票券金融股份有限公司永續發展委員會組織簡則, , 另開新視窗.">中華票券金融股份有限公司永續發展委員會組織簡則</a></li><li><a href="np.asp?ctNode=1097&amp;CtUnit=347&amp;BaseDSD=7&amp;mp=1" target="_blank" title="中華票券永續發展委員會組織圖 , , 另開新視窗.">中華票券永續發展委員會組織圖 </a></li><li><a href="np.asp?ctNode=1098&amp;CtUnit=348&amp;BaseDSD=7&amp;mp=1" target="_blank" title="永續政策、制度及管理方針 , , 另開新視窗.">永續政策、制度及管理方針 </a></li><li><a href="np.asp?ctNode=1099&amp;CtUnit=349&amp;BaseDSD=7&amp;mp=1" target="_blank" title="永續發展具體推動計畫與實施成效 , , 另開新視窗.">永續發展具體推動計畫與實施成效 </a></li></ul></li><li><a href="np.asp?ctNode=1106&amp;mp=1" title="企業永續報告書">企業永續報告書</a><ul><li><a href="np.asp?ctNode=1559&amp;CtUnit=370&amp;BaseDSD=7&amp;mp=1" title="中華票券113年永續報告書">中華票券113年永續報告書</a></li><li><a href="np.asp?ctNode=1129&amp;CtUnit=360&amp;BaseDSD=7&amp;mp=1" title="中華票券112年永續報告書">中華票券112年永續報告書</a></li><li><a href="np.asp?ctNode=1108&amp;CtUnit=350&amp;BaseDSD=7&amp;mp=1" target="_blank" title="中華票券111年永續報告書, , 另開新視窗.">中華票券111年永續報告書</a></li><li><a href="np.asp?ctNode=1109&amp;CtUnit=351&amp;BaseDSD=7&amp;mp=1" target="_blank" title="中華票券110年永續報告書, , 另開新視窗.">中華票券110年永續報告書</a></li><li><a href="np.asp?ctNode=1110&amp;CtUnit=352&amp;BaseDSD=7&amp;mp=1" target="_blank" title="中華票券109年企業社會責任報告書, , 另開新視窗.">中華票券109年企業社會責任報告書</a></li><li><a href="np.asp?ctNode=1111&amp;CtUnit=353&amp;BaseDSD=7&amp;mp=1" target="_blank" title="中華票券108年企業社會責任報告書, , 另開新視窗.">中華票券108年企業社會責任報告書</a></li><li><a href="np.asp?ctNode=1112&amp;CtUnit=354&amp;BaseDSD=7&amp;mp=1" target="_blank" title="中華票券107年企業社會責任報告書, , 另開新視窗.">中華票券107年企業社會責任報告書</a></li><li><a href="np.asp?ctNode=1113&amp;CtUnit=355&amp;BaseDSD=7&amp;mp=1" target="_blank" title="中華票券106年企業社會責任報告書, , 另開新視窗.">中華票券106年企業社會責任報告書</a></li><li><a href="np.asp?ctNode=1114&amp;CtUnit=356&amp;BaseDSD=7&amp;mp=1" target="_blank" title="中華票券105年企業社會責任報告書, , 另開新視窗.">中華票券105年企業社會責任報告書</a></li><li><a href="np.asp?ctNode=1115&amp;CtUnit=357&amp;BaseDSD=7&amp;mp=1" target="_blank" title="中華票券104年企業社會責任報告書, , 另開新視窗.">中華票券104年企業社會責任報告書</a></li><li><a href="np.asp?ctNode=1116&amp;CtUnit=358&amp;BaseDSD=7&amp;mp=1" target="_blank" title="中華票券103年企業社會責任報告書, , 另開新視窗.">中華票券103年企業社會責任報告書</a></li></ul></li><li><a href="np.asp?ctNode=639&amp;CtUnit=251&amp;BaseDSD=7&amp;mp=1" title="利害關係人專區">利害關係人專區</a></li><li><a href="np.asp?ctNode=919&amp;mp=1" title="企業永續發展相關文宣">企業永續發展相關文宣</a><ul><li><a href="np.asp?ctNode=920&amp;CtUnit=306&amp;BaseDSD=7&amp;mp=1" target="_blank" title="公司治理文宣, , 另開新視窗.">公司治理文宣</a></li></ul></li><li><a href="np.asp?ctNode=1020&amp;CtUnit=308&amp;BaseDSD=7&amp;mp=1" target="_blank" title="永續重點績效, , 另開新視窗.">永續重點績效</a></li><li><a href="np.asp?ctNode=1023&amp;CtUnit=309&amp;BaseDSD=7&amp;mp=1" target="_blank" title="永續承諾, , 另開新視窗.">永續承諾</a></li><li><a href="np.asp?ctNode=1025&amp;CtUnit=310&amp;BaseDSD=7&amp;mp=1" target="_blank" title="永續治理, , 另開新視窗.">永續治理</a></li><li><a href="np.asp?ctNode=1026&amp;CtUnit=311&amp;BaseDSD=7&amp;mp=1" target="_blank" title="營運績效, , 另開新視窗.">營運績效</a></li><li><a href="np.asp?ctNode=1036&amp;CtUnit=312&amp;BaseDSD=7&amp;mp=1" target="_blank" title="永續金融, , 另開新視窗.">永續金融</a></li><li><a href="np.asp?ctNode=1030&amp;CtUnit=313&amp;BaseDSD=7&amp;mp=1" target="_blank" title="幸福職場, , 另開新視窗.">幸福職場</a></li><li><a href="np.asp?ctNode=1032&amp;CtUnit=314&amp;BaseDSD=7&amp;mp=1" target="_blank" title="社會關懷, , 另開新視窗.">社會關懷</a></li><li><a href="np.asp?ctNode=1084&amp;mp=1" title="環境守護">環境守護</a><ul><li><a href="np.asp?ctNode=1085&amp;CtUnit=342&amp;BaseDSD=7&amp;mp=1" title="環境政策">環境政策</a></li><li><a href="np.asp?ctNode=1086&amp;CtUnit=315&amp;BaseDSD=7&amp;mp=1" title="低碳營運">低碳營運</a></li><li><a href="np.asp?ctNode=1540&amp;mp=1" title="相關認證">相關認證</a><ul><li><a href="np.asp?ctNode=1546&amp;CtUnit=365&amp;BaseDSD=7&amp;mp=1" target="_blank" title="環境管理, , 另開新視窗.">環境管理</a></li><li><a href="np.asp?ctNode=1547&amp;CtUnit=366&amp;BaseDSD=7&amp;mp=1" target="_blank" title="溫室氣體盤查, , 另開新視窗.">溫室氣體盤查</a></li></ul></li></ul></li></ul></li></ul><div class="menufooter"></div>
</div><a onfocus="mlout();" href="javascript:" title="dynamic menu control"></a><noscript>動態選單效果，如不執行不影響您資料瀏覽</noscript>
</div>
</div>
</td>
<td class="center">
<div class="accesskey">
<a href="#" accesskey="C" title="中央內容區塊">:::</a>
</div>
<div id="zone.content11"><div class="friendly">
<div class="path"><span class="before">現在位置</span><a href="mp.asp?mp=1">首頁</a>
				>
				<a href="np.asp?ctNode=458&mp=1">債券市場</a>
				>
				債券小百科</div>
<div class="function">
<ul>
<li><a class="print" href="fp.asp?fpage=cp&ctNode=926&xItem=1245&mp=1" title="友善列印">友善列印</a></li>
<li><a href="javascript:history.back();" class="back">回上一頁</a></li>
</ul>
</div>
</div>
<div class="cp">
<h2><span>債券小百科</span></h2>
<h3>現值（Present Value）</h3>
<div class="webFun">
<ul>
<li class="clickFun">點閱:
					<em>6110</em></li>
</ul>
</div>
<ul class="info">
</ul>
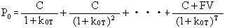
<p>現值是指將未來的貨幣價值轉換為以本期貨幣衡量的價值，計算方式係將未來金額以距目前到期期限之複利折現(Discount)，影響現值的因素包含折現利率、計息頻率、到期期限等。<br><br><BR/>1.零息債券之現值計算公式如下：<br><BR/>&nbsp;&nbsp;&nbsp;&nbsp;<img src="public/MMO/cbf/zerocouponPV.jpg" alt=""/><br><BR/>2.附息債券之現值計算如下：<br><BR/>&nbsp;&nbsp;&nbsp;&nbsp;<img src="public/MMO/cbf/withcouponPV.jpg" alt=""/><BR/>&nbsp;&nbsp;&nbsp;&nbsp;<img src="public/MMO/cbf/withcouponPV1.jpg" alt=""/><BR/></p><script type="text/javascript">
			//window.addEvent('domready', function(){
			var tabpanel1 = new TabPanel("tabpanel_1");
			widgets.add(tabpanel1);
			//});
		</script><noscript>TAB標籤效果，如不執行不影響您資料瀏覽</noscript>
<div id="container">
<div id="tabpanel_1" class="tabpanel">
<ul id="tablist_1" class="axs tablist">
</ul>
</div>
</div><script type="text/javascript">
			window.addEvent('domready', function(){
			if(widgets.widgets.length!=0){
			initApp();
			}
			});
		</script><noscript>TAB標籤效果，如不執行不影響您資料瀏覽</noscript>
<div class="quickLink">
<ul>
<li><a href="#" class="gotop">回頁首</a></li>
<li><a href="javascript:history.back();" class="back">回上一頁</a><noscript>本網頁使用SCRIPT編碼方式執行回上一頁的動作，如果您的瀏覽器不支援SCRIPT，請直接使用「Alt+方向鍵向左按鍵」來返回上一頁</noscript>
</li>
</ul>
</div>
</div>
</div>
<table summary="layout table" class="clear">
<tr>
<td class="leftblock">
<div id="zone.content121"></div>
</td>
<td class="rightblock">
<div id="zone.content122"></div>
</td>
</tr>
</table>
<table summary="layout table" class="clear">
<tr>
<td class="col3block">
<div id="zone.content131"></div>
</td>
<td class="col3block">
<div id="zone.content132"></div>
</td>
<td class="col3block">
<div id="zone.content133"></div>
</td>
</tr>
</table>
<div id="zone.content21"></div>
<table summary="layout table" class="clear">
<tr>
<td class="leftblock">
<div id="zone.content221"></div>
</td>
<td class="rightblock">
<div id="zone.content222"></div>
</td>
</tr>
</table>
<table summary="layout table" class="clear">
<tr>
<td class="col3block">
<div id="zone.content231"></div>
</td>
<td class="col3block">
<div id="zone.content232"></div>
</td>
<td class="col3block">
<div id="zone.content233"></div>
</td>
</tr>
</table>
<div id="zone.content31"></div>
<table summary="layout table" class="clear">
<tr>
<td class="leftblock">
<div id="zone.content321"></div>
</td>
<td class="rightblock">
<div id="zone.content322"></div>
</td>
</tr>
</table>
<table summary="layout table" class="clear">
<tr>
<td class="col3block">
<div id="zone.content331"></div>
</td>
<td class="col3block">
<div id="zone.content332"></div>
</td>
<td class="col3block">
<div id="zone.content333"></div>
</td>
</tr>
</table>
</td>
<td class="rightbg hidden">
<div class="side">
<div class="accesskey">
<a href="#" accesskey="R" title="右方相關資訊區塊">:::</a>
</div>
<div id="zone.SideBarRight"></div>
</div>
</td>
</tr>
</table>
<div id="zone.footer" class="bottom"><div class="footer">
<div class="copyright">
<ul>
<li><a href="mailto:service@cbf.com.tw" title="聯絡我們">聯絡我們</a></li>
<li><a href="ct.asp?xItem=889&amp;ctNode=449&amp;mp=1" title="網站使用原則">網站使用原則</a></li>
</ul>
</div>
<p>中華票券金融股份有限公司      (11493)台北市內湖區堤頂大道二段99號4樓   電話：(02)2799-1177 傳真：(02)2659-2919</p>
</div>
</div>
</div>
<script type="text/javascript">
var gaJsHost = (("https:" == document.location.protocol) ? "https://ssl." : "http://www.");
document.write(unescape("%3Cscript src='" + gaJsHost + "google-analytics.com/ga.js' type='text/javascript'%3E%3C/script%3E"));
</script>
<script type="text/javascript">
try {
var pageTracker = _gat._getTracker("UA-15436288-1");
pageTracker._trackPageview();
} catch(err) {}</script>
</body>
</html>

<script>
function w3FP_close(reloadURL) {
	if(reloadURL == "") {
		location.reload();
	} else{
		location.reload(reloadURL);
	}
}
</script>